1. 当前位置:
  2. 首页
  3. 新闻中心
  4. 科研进展

气候变暖“透支”青藏高原草地生产力稳定性

文章来源 :气候变化与减排固碳团队 作者:干珠扎布 发布时间: 2025-12-05 浏览量:

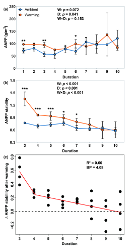
近日,中国农业科学院农业环境与可持续发展研究所气候变化与减排固碳创新团队在气候变暖对青藏高原高寒草甸生产力稳定性的长期影响机制研究方面取得重要突破,为高寒生态系统的适应性管理提供了关键科学依据。该研究成果发表在《通讯地球与环境(Communication Earth & Environment)》上。

青藏高原高寒草甸作为重要的生态屏障,不仅维系着当地牧草生产与水源涵养,也在全球碳循环和气候调节中扮演着重要角色。高寒草甸生产力稳定性直接关系到牧区可持续发展和区域生态安全。然而,气候变暖如何影响其稳定性,尤其是长期效应如何演变,一直是学界关注的难点。

科研团队依托农业农村部农业环境那曲野外科学观测研究站,持续开展长达十年的原位模拟增温实验,系统观测高寒草甸群落动态与生产力变化。研究发现:气候变暖对生产力稳定性的促进作用并非持久不变,在增温进入第四年后出现显著“转折点”。短期内,增温促进植物群落高度增加,有助于稳定性提升;但随着时间延长,长期增温会导致优势物种盖度下降、群落碳水利用效率降低,从而加剧生产力年际波动,最终削弱增温的正面效应。

该研究首次明确揭示了增温效应随时间递减的生态机制,明确了返青期推迟导致的碳水利用率下降是生产力稳定性的决定因素,突破了“异步性主导生产力稳定性”的传统认知。这一认识对青藏高原草地生态系统的保护与适应性管理具有重要警示意义,也为我国生态脆弱区应对气候变化提供了理论参考与实践方向。

image.png

气候变暖对高寒草甸生产力稳定性的影响

气候变化与减排固碳创新团队博士生李征为论文第一作者,干珠扎布副研究员为通讯作者,研究得到国家自然科学基金、中国农业科学院青年创新专项、那曲市重大科技专项等项目资助。

原文链接:https://doi.org/10.1038/s43247-025-02934-6

上一篇:我国首创农业废弃物集中处理CCER方法学,赋能农业绿色低碳发展 下一篇:北京顺义:国家农业绿色发展先行区观测站长期观测项目启动